High Voltage Engineering Interview Questions and Answers:
Following are the below High Voltage Engineering Interview Questions and Answers, High Voltage Engineering Important Questions and Answers
1. What are the causes of power frequency over voltages?
Ans. The main causes for power frequency and its harinonic overvoltages are
- Sudden loss of loads
- Disconnection of inductive loads or connection of capacitive loads.
- Ferranti effect, unsymmetrical faults
- Satuaration in tranformers.
2. What is insulation coordination?
Ans. Insulation coordination of suitable values for the insulation levels of the various components in any electrical system and their arrangement in a rational manner is called insulation coordinaton. Insulation coordination of the insulation of the electrical equipment and circuits with the characteristics of the protective devices in such a manner that the insulation is well protected from excessive overvoltages.
3. Define Gas law.
Ans. It consists of many laws. The following laws are very important.
- Charle’s law P α T Volume is constant
- Boyle’s law P α 1/V T is constant
General equation: PV = nRT
- P – Pressure
- V – Volume
- n – number of moles
- R – molar gas constant
- T – temperature
- Series resistance microamnieter
- Resistance potential divider
- Generating voltmeter
- Sphere and other spark gaps
4. What are the tests conducted on insulators?
Ans.
Power frequency voltage test:
- Dry and wet flashover tests.
- Wet and dry withstand tests (one minute)
Impulse voltage test:
- Impulse withstand voltage test
- Impulse flashover test
- Pollution testing
5. What are the tests conducted on Bushings?
Ans.
Power frequency test:
- Power factor voltage test
- Internal or partial discharge test
- Momentary withstand test at power frequency
- One minute wet withstand test at power frequency test
- Visible discharge test at power frequency
- Impulse voltagte test can lie classified into
Impulse voltage test:
- Full wave withstand test
- Chopped wave withstand and switching surge tests
Tempersature rise and thermal stability tests are also used for testing of bushings
6. What are the causes of over voltage in a power system?
Ans. The causes for overvoltages may be internal cause or external cause.
Internal causes of over voltages are
- Switching transients
- Arcing ground
- Insulation failure
- Resonance
External cause for overvoltages is
- Lighting
7. What are the different types of faults that may occur on power lines?
Ans. In electric power system consisting of generators, transformers, transmission lines and distribution circuits most of the faults about two thirds are liable to occur in the transmission circuits. The principal kinds of faults are
- Symmetrical three phase short circuit
- Line to line short circuit without involving ground
- Single line to ground
- Double line to ground
8. Which insulation is used in high voltage circuit breakers of large power rating?
Ans. Now a days most of all circuit breakers that are in operation use. SF6 gas or vacuum as insulating medium. SF6 circuit breakers are manufactured upto the higher transmission voltage of 800KV and current range of 63 KA and 80 KA. However it is an expensive gas and at the normal operating pressure of 6 bar it condenses at temperatures lower than 20°C.
9. How are capacitances connected in an impulse current generator?
Ans. For producing impulse currents of large value a bank of capacitors are connected in parallel and are charged to a specified value and are discharged through a series R.L circuit.
10. What type of wave form will be available in impulse current generator output?
Ans. Damped wave or damped oscillatory wave.
11. For what measurement are Hall generators normally used?
Ans. These are used for measurement of high direct currents. It can be used for measurement of unidirectional a.c and impulse current also.
12. What type of measuring devices are preferred for measurement of impulse currents of short duration?
Ans. Park’s tubular shunt (or) coaxial tube are preferred for measurement of impulse currents of short duration.
13. Define withstand voltage.
Ans. The voltage which has to be applied to a test object under specified condition in a withstand test is called the withstand voltage.
14. Define “impulse voltage”.
Ans. Impulse voltages are characterised by polarity peak value, time to front (tp) and time to half the peak value after the peak (tt). The time to front is defined as 1.67 times to time between 30% and 90% of the peak value in the rising portion of the wave.
15. What is time lag in the break down of dielectric mediums?
Ans. The break down of the solid characteristics not only depends upon the magnitude of voltage applied but also it is a function of time. The product of breakdown voltage and lag of the time required for breakdown is constant.
16. What are electronegative gases? Give an example.
Ans. In a number of gases oxygen, chlorine fluorine the negative ions are easily formed and durable combinations such gases are called electro negative gases.
17. Draw a circuit diagram of a simple voltage doubler.
Ans.
18. Write the expressions to find the optimum number of stages and % ripple in a voltage multiplier circuits.
Ans.
19. List the factors that are influencing the peak voltage measurement using sphere gap.
Ans. The following are the factors
- Nearby earthed objects
- Atmospheric conditions and humidity
- Radiation
- Polarity and rise time volrage of waveforms
20. Draw the simple circuit of peak reading voltmeter and it’s equivalent circuit.
Ans.
21. Differentiate type test and routine test.
Ans. The routine tests are intended to check the quality of individual test piece. Type tests are done on samples when new design or design changes are introduced.
22. Give the values of reference atmospheric conditions as per I.S. specifications.
Ans. According to Indian standard specification they are
- Temperature 27°C
- Pressure 1013 millibars or (760 torr) Absolute humidity 17gm/m3
23. What are the causes for over voltages in a transmission line?
Ans. The causes for overvoltage in transmission line can be classified into main categories
- Internal causes: These over voltages are caused by changes in the operating conditions of the network.
- External causes: These overvoltage original from atmospheric disturbances mainly due to lighting
24. What is Time lag in the break down of dielectrics?
Ans. The time that elapses between the application of the voltage to a gap sufficient to cause breakdown and actual break down is called time lag.
25. Draw a simple Tesla Coil equivalent circuit for generation of High frequency A.C high voltage.
Ans.
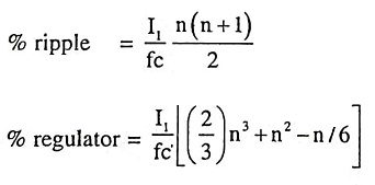
26. Write an expression to find the % ripple and % voltage regulation in a multi stage voltage multiplier circuit.
Ans.
27. What are the factors influencing the measurements using sphere gap?
Ans. The various factors influencing the measurements using sphere gap are
- nearly earthed objects
- atmospheric conditions and humidity
- irradiation
- Polarity and rise time of voltage waveforms
28. What are the advantages of CVT measurement in HVAC?
Ans.
- Simple design and easy installation
- Can be used both as a voltage measuring device for meter and relaying purpose and as a coupling condenser for power line carrier communication and relaying.
- Frequency independent voltage distribution along elements as against conventional magnetic potential transformer which require additional insulation design.
- Provides isolation between the high voltage terminal and low voltage testing.
29. Define Disruptive discharge voltage.
Ans. This is defined as the voltage which produces the loss of dielectric strength of an insulation. It is that voltage at which the electrical stress in the insulation causes a failure which includes the collapse of voltage and passage of current.




