Communication Engineering Interview Questions and Answers:
1. Define Phase Modulation.
Ans. In phase modulation, the phase of the carrier varies according to amplitude variations of the modulating signal, The PM signal can be expressed mathematically as,
Here mp is the modulation index for phase modulation. It is given as,
Here Φm is the maximum value of phase change.
2. Define detection.
Ans. Detection is the process of extracting modulating signal from the modulated carrier. Different types of detectors are used for different types of modulations.
3. Draw the practical diode detector circuit used for AM.
Ans. Following figure shows the circuit diagram of diode detector used for AM.
4. Define fidelity of the radio receiver.
Ans. The ability of the receiver to reproduce all the range of modulating frequencies equally is called fidelity of the receiver.
5. Define Amplitude Modulation.
Ans. In amplitude modulation, the amplitude of a carrier signal is varied according to variations in amplitude of modulating signal.
The AM signal can be represented mathematically as,
And the modulation index is given as,
6. What is the maximum frequency deviation allowed by FCC in standard FM ?
Ans. FCC allows maximum frequency deviation of 75 kHz and carrier frequency of 100 MHz.
7. What is meant by diagonal clipping?
Ans. At high modulating frequencies the diode ac load impedance, Zm does not remain purely resistive. It does have reactive component also. At high modulation depths, the current changes so fast that the time constant of the load doesnot follow the changes. Hence the current decays slowly. The output voltage follows the discharge law of RC circuit. This distortion is called diagonal peak clipping.
8. Master oscillator in radio transmitter should be free from frequency drift. Why ?
Ans. The master oscillator determines the carrier frequency being transmitted. If there is drift in oscillator frequency, then carrier frequency also drifts. Hence receiver is not able to properly receive the signal being transmitted. The receiver is tuned to fixed carrier frequency. Hence there are errors in the received signal.
9. Define sensitivity of the radio receiver.
Ans. The ability of the receiver to pick up weak signals and amplify them, is called sensitivity. It is often defined in terms of the voltage that must be applied to the receiver input terminals to give the standard output power, measured at the output terminals.
10. What is modulation index?
Ans. Modulation index indicates the depth of modulation. As the amplitude of modulating signal increases, modulation index increases. For amplitude modulation, the modulation index is given as,
And for frequency. modulation,
11. What is superheterodyne receiver?
Ans. The superheterodyne receiver converts all incomming RF frequencies to a fixed lower frequency, called Intermediate Frequency (IF). This IF is then amplitude and detected to get the original signal.
12. Why uplink frequency in satellite communication system is chosen greater than downlink frequency?
Ans. The uplink frequencies are greater than downlink frequencies because –
- High frequencies undergo more attenuation. Hence they need more power for transmission. This more power can be obtained from earth station. But more power cannot be obtained from satellite.
- Low frequencies travel more distance for same transmitted power. Hence low downlink frequencies from satellite travel more distance with reduced transmitted
13. What is Automatic Gain control (AGC)?
Ans. Automatic Gain control (AGC) keeps the output signal level constant irrespective of the increase or decrease in the signal level at the input of the receiver. The AGC circuit takes part of detected signal and derives a dc control voltage for RF, mixer and IF stages. This control voltage acts as negative feedback and controls the overall gain of these stages. The gain is varied such that output signal level is constant.
14. Define (a) Passive satellite (b) Active satellite.
Ans. Passive satellite receives the signal from uplink, it amplifies the signal and retransmits on downlink. Thus it performs the job of repeater. Active satellite detects the signal from uplink. It performs signal to noise ratio improvement, decoding and encoding for error correction, then the signal is modulated and retransmitted on downlink.
15. State the primary mode of microwave propagation ? What factors determine the range of it?
Ans. Primary mode of microwave propagation is in line of sight. It is also called free space mode. The range of propagation depends upon height of the transmitting and receiving antennas, obstacles such as hills, tall buildings and frequency of transmission. As heights of transmitting and receiving antennas is increased, the distance covered also increases. The absorption losses in the microwave link also depend upon frequency of transmission.
Microwaves also propagate through ducting or superrefraction. Near ground surface, the microwaves are completely refracted (bent down) through atmospheric duct. Such refracted waves are again reflected by earth’s surface. Then the cycle of refraction-reflection continues and microwave propagates through it.
16. Define the term “conversion conductance”.
Ans. Conversion transconductance is used for nonlinear operation of the device. Such nonlinear operation is required in mixer, which produces IF output from local oscillator and RF inputs. The device in the mixer is driven into nonlinearity to produce IF output. The convergence transconductance is given as,
The convergence transconductance of the transistor mixer is around 6 ms. This is lower than the transconductance when same transistor is used as an amplifier.
17. What is meant by quantization?
Ans. While converting the signal value from analog to digital, quantization is performed. The analog value is assigned to the nearest digital level. This is called quantization. The quantized value is then converted to equivalent binary value. The quantization levels are fixed depending upon the number of bits. Quantization is performed in every Analog to Digital Conversion.
18. What is meant by adaptive delta modulation?
Ans. In adaptive delta modulation, the step size is adjusted as per the slope of the input signal. Step size is made high if slope of the input signal is high. This avoids slope overload distortion.
19. What is the advantage of delta modulation over pulse modulation schemes?
Ans. Delta modulation encodes one bit per sample. Hence signaling rate is reduced in DM.
20. What should be the minimum bandwidth required to transmit a PCM channel?
Ans. The minimum transmission bandwidth in PCM is given as,
BT = νW
Here ν is number of bits used to represent one pulse. W is the maximum signal frequency.
21.What is the advantage of delta modulation over PCM?
Ans. Delta modulation uses one bit to encode one sample. Hence bit rate of delta modulation is low compared to PCM.
22. Define Nyquist sampling rate.
Ans. Let the signal to be sampled is bandlimted to ‘W’ Hz. When the sampling rate becomes exactly equal to ‘2W’ samples per second, then it is called Nyquist sampling rate. i.e.,
Nyquist rate = 2W
For sampling rates higher than Nyquist sampling rate, aliasing does not take place.
23. What is the operation of a compander?
Ans. The signal is amplified at low voltage levels and attenuated at high voltage levels. This is called compression. Uniform quantization is used after compression. This is equivalent to more step size at low voltage levels and small step size at high voltage levels. That is signal is attenuated at low voltage levels and amplified at high voltage levels to get original signal. Thus the compression of signal at transmitter and expansion at receiver is called companding.
24. Define Pulse Amplitude Modulation.
Ans. In PAM, the amplitudes of regularly spaced rectangular pulses vary with the instantaneous sample values of continuous message signal.
25. What is baseband signal receiver?
Ans. A baseband signal receiver increases the signal to noise ratio at the instant of sampling. This reduces the probability of error. The baseband signal receiver is also called optimum receiver.
26. What is matched filter?
Ans. The matched filter is a baseband signal receiver, which works in presence of white Gaussian noise. The impulse response of the matched filter is matched to the shape of the input signal.
27. What is the impulse response of matched filter?
Ans. Impulse response is given as,
Here T is the period of sampling x1(t) & x2(t)Â are the two signals used for transmission.
28. What is the value of maximum signal to noise ratio of the matched filter?
Ans. Maximum signal to noise ratio of the matched filter is the ratio of energy of the signal to psd of white noise. i.e.,
29. On what factor, the error probability of matched filter depends?
Ans. Error probability of matched filter is given as,
This equation shows that error probability depends only on energy of the signal. It doesnot depend upon shape (waveform) of the signal.
30. What is correlator?
Ans. Correlator is the coherent receiver. It correlates the received noisy signal f(t) with the locally generated replica of the known signal x(t). It’s output is given as,
Matched filter and correlator are, functionally same.
31. Which digital modulation technique gives better error probability?
Ans. Binary PSK gives reduced error probability compared to ASK and FSK. It is given as
32. What is meant by coherent reception in data transmission?
Ans. In coherent reception, the local carrier generated at the receiver is phase locked with the carrier at the transmitter. The detection is done by correlating received noisy signal and locally generated carrier. The coherent reception is also called synchronous detection.
33. How the probability of error can be reduced in data transmission?
Ans. Error probability of the matched filter is given as,
Above equation shows that value of Pe will reduce if energy ‘E’ is increased. Energy can be increased by increasing amplitude of the signal and increasing bit duration.
34. What is Quadrature phase shift keying (QPSK)?
Ans. In QPSK, two successive bits are taken togther. Such two bits form four distinct symbols. When the symbol is changed to next symbol the phase of the carrier is changed by 45° (π/4 radians).
35. What are the important advantages of optical fiber?
Ans.
- Optical fibers are free from electromagnetic radiation and other electrical interference.
- Optical fibers have very small attenuation.
- Optical fibers have large bandwidth capacity.
36. What is meant by the term numerical aperture of an optical fiber?
Ans. Numerical aperture is used as figure of merit for the fiber. It is given as,
Here no is refractive index of the medium through which light is launched, n1 is refractive index of fiber core glass, n2 is refractive index of fiber cladding.
37. What is the difference between TDM and FDM?
Ans. In TDM, fixed time slot is given to each channel. In FDM fixed frequency slot is given to each channel. Thus in FDM, bandwidth is shared, whereas in TDM time is shared.
38. What is meant by dispersion and what is it unit of measurement?
Ans. The time dispersion of the pulse takes place during transmission. This changes timing characteristics of the pulse. Because of dispersion, the pulse is widened and amplitude is further reduced. This may cause overlapping of adjacent pulses. Dispersion is measured in nanosec per kilometers.
39. Distinguish between graded index and step index multimode fiber ?
Ans. In step index fiber, the refractive index of the fiber core remains same throughout its bulk. There is sudden transition of refractive index at the interface of core and cladding. Because of the constant refractive index of the core material, the light rays travel straight and reflected from the walls of the core. Hence the light path is zig-zag straight segments.
In graded index fiber, the refractive index is maximum at the core axis and goes on decreasing gradually towards wall of the core. The acceptance cone of the graded index fibers is more than the step index fibers.
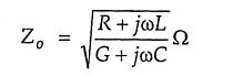
40. Define characteristic impedance of the cable.
Ans. The characteristic impedance of the transmission line is the ratio of voltage to current at any point along the line on which there are no reflected waves. It is given as,
Here R,L,G and C are distributed resistance, inductance, conductance and capacitance of the line. And ‘ω’ is the angular frequency of the signal being transmitted.
If the line is terminated with its characteristic impedance, then there are no signal reflections. Hence the line appears to be of infinite length. Under such condition, maximum energy is transferred to the load.
41. Give the expression for capacity of a Gaussian channel.
Ans. Capacity of a white bandlimited gaussian channel is given as,
Here B is the channel bandwidth, S is the signal power, N is the total noise power within the channel bandwidth.
42. Define time division multiplexing.
Ans. In time division multiplexing, common cable/medium, is shared by different channels on time basis. Each channel is assigned a fixed time slot. Every channel transmits in its own time slot. In TDM, full bandwidth of the cable/medium is available to transmitting channel in its time slot.
43. What is meant by chrominance signal in colour TV?
Ans. The chrominance signal represents hue and saturation in the picture. In other words chrominance signal represents colours in the picture. It is generated from colour difference signals. The amplitude and phase of the chrominance signal c (t) is given as,
The amplitude represents saturation and phase represents hue of the colour.
44. Mention the colour TV system adopted in India ?
Ans. India has adopted PAL colour TV system. PAL stands for phase alternation by line. It is compatible with CCIR-B 625 line monochrome standard. PAL has improved response for cancellation of phase errors.
45. What are the basic colours of colour TV system?
Ans. Colour TV system use Red, Green and Blue colours. It generates all others colours by additive mixing of Red, Green and Blue. The monochrome signal (Y) is also generated by combination of R, G and B.
46. What is the vestigial side band transmission, and how is it implemented for a TV system.
Ans. In vestigial side band transmission, upper sideband and part of the lower sideband is transmitted. The lower sideband is transmitted partially to get better low frequency response. A vestigial sideband correction is used at the TV receiver to compensate for portion of lower sideband transmitted in upper sideband also.
47. Discuss the principle of operation of colour TV receiver.
Ans. The luminance and chrominance signals are processed separately. The colour difference signals U and V are separated from chrominance signal. The three signals R,G and B are then generated from U, V and Y. The R, G and B signals are given to the picture tube to produce the picture.
48. What is the standard rafter size of TV receiver?
Ans. The CCIR-B 625 line system uses a rafter of 625 scanning lines. Out of this, 40 lines are wasted in vertical retrace. Hence active rafter consists of 585 lines.
49. What is the frequency band of operation corresponding to Band-I, Channel IV operation for TV reception?
Ans. In Band-I, channel 4 operates at 61 MHz to 68 MHz frequencies.
50. What is the advantage of interlaced scanning over linear scanning ?
Ans. Interlaced scanning reduces flicker and at the same time it does not increase bandwidth of the signal.
51. What is meant by aspect ratio of the TV?
Ans.
Normally aspect ratio of all TV signals is 4 : 3.
52. Mention the devices used in TV cameras for conversion of picture signals into electrical currents.
Ans. TV camera uses a faceplate on which photoconductive coating is applied. The resistance of the photoconductive material changes as per incident light intensity variations. An electron beam scans this photoconductive material line by line. This scanning generates the current flow as per resistance of the photoconductive material.
53. What are video and audio IF carrier frequencies?
Ans. Video IF is 38.9 MHz and Audio IF is 33.4 MHz.
54. Define luminance signal.
Ans. Luminance signal represents intensity of the picture. Monochrome pictures use only luminance signal. For colour pictures, luminance signal is calculated as,
Y = 0.3 R + 0.59G + 0.11 B
Here R is red, G is green and B is blue colour in the picture.
55. What is the function of PLL?
Ans. PLL is used in AFC (automatic frequency correction) circuit of TV. The sawtooth waveform generated by the horizontal oscillator is locked in phase with input synch signal. The video signal is given to sync seperator. The sync separator separates horizontal sync and vertical sync pulses. Horizontal sync pulses are given to AFC. The PLL in AFC ensures phase locking between output sawtooth waveform and input sync pulses.
















