Relationships Between Standard Time Function

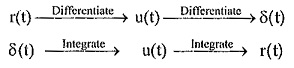
Relationships Between Standard Time Function: The Relationships between Standard Time Function contains two parts, namely Relation Between Unit Step and Unit Ramp Relation Between Unit Step and Unit Impulse 1.…

Continue Reading Relationships Between Standard Time Function

Network Functions Articles

Network Functions Articles: Unit Step Function | Unit Ramp Function | Unit Impulse Function | Unit Doublet Function: a) Unit step function: This function has already been discussed in the…

Continue Reading Network Functions Articles

Shifted Unit Step Function

Shifted Unit Step Function: This Shifted Unit Step Function is defined by the equation for a step function which changes abruptly at the time t = + a. In general,…

Continue Reading Shifted Unit Step Function

Carrier Lifetime in Semiconductor

Carrier Lifetime in Semiconductor: As already explained, in an extrinsic semiconductor the number of holes is equal to the number of free electrons. Due to thermal agitation, new electron-hole pairs…

Continue Reading Carrier Lifetime in Semiconductor

8253 Programmable Interval Timer

8253 Programmable Interval Timer: 8253 Programmable Interval Timer - In the process control system or automation industry, a number of operations are generally performed sequen­tially. Between two operations, a fixed…

Continue Reading 8253 Programmable Interval Timer

Poles and Zeros of Time Domain Response

Poles and Zeros of Time Domain Response: For the given network function, a pole zero plot can be drawn which gives useful information regarding the critical frequencies. The Poles and…

Continue Reading Poles and Zeros of Time Domain Response