π or pi Network in Network Analysis:
Consider following two port ’π’ or pi Network type network with assumed voltages V1 and V2 and current I1 end I2 as shown in Fig. 6.11.
Let the y-parameters of the above network are represented as follows,
We know that, y-parameter for any network can be calculated by short circuiting input and output ports ie by making V1 = 0 and V2 = 0.
With the port 2-2′ short circuited :
We have V2 = 0
Hence, y2 will be directly shorted.
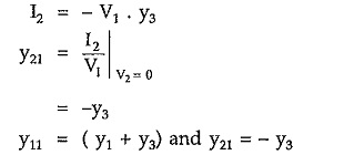
Total admittance looking into network from port 1-1′ is equal to (y1 + y3).
Hence, current I1 in port 1-1′ can be calculated as follows,
The current I2 in port 2-2′ can be calculated as follows.
Note that current I2 will be negative
With the port 1-1′ short circuited :
We have V1 = 0. Hence, y1 will be directly shorted. Total admittance looking back into network from port 2-2′ is equal to (y2 + y3).
Hence, current I2 in port 2-2′ can be calculated as follows
The current I1 in port 1-1′ can be calculated as follows.
Note that current I1 will be negative.
Consider the expression
substituting y3 = -y12 in first two expressions, we have,
Hence, the circuit elements of the equivalent ’π’ of pi network are as follows,








